点滴 | 少将全栈-Page 19
  • 欢迎访问少将全栈,学会感恩,乐于付出,珍惜缘份,成就彼此、推荐使用最新版火狐浏览器和Chrome浏览器访问本网站。
  • 吐槽,投稿,删稿,交个朋友
  • 如果您觉得本站非常有看点,那么赶紧使用Ctrl+D 收藏少将全栈吧

记录生活中的点点滴滴

PID控制算法

PID控制算法

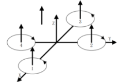
四轴如何起飞的原理 四轴飞行器的螺旋桨与空气发生相对运动,产生了向上的升力,当升力大于四轴的重力时四轴就可以起飞了。 ……

四轴飞行器算法讲解

四轴飞行器算法讲解

本章主要是Crazepony核心的算法讲解。其中最重要的就是姿态解算部分内容。 姿态解算是指把陀螺仪、加速度计、罗盘等数据融合在一起,得出飞行器的空中姿态,也叫做姿态融合。姿态解……

Crazepony 固件烧写方法

Crazepony 固件烧写方法

编译好STM32的代码,得到hex格式的固件文件,如何烧写到主控中? 首先从crazepony的百度云盘中下载开发工具,……

Crazepony Android客户端

Crazepony Android客户端

Crazepony的Android客户端源代码也是托管在github的crazepony项目下,点击这里查看。可以直接下载zip压缩包,也可以通过git clone到本地。git clo……

Crazepony Windows下开发环境搭建

Crazepony Windows下开发环境搭建

环境配置说明 目前采用Keil+gcc+jlink是最好的编译与调试方法。Keil内部有自己的编译工具链,但是Keil自带的编译器不支持目前代码的许多语法,所以建议使用gcc工具……

Crazepony Windows下开发环境搭建-裸机版本

Crazepony Windows下开发环境搭建-裸机版本

IDE开发工具Keil v4.10下载地址:Crazepony百度云网盘Keil-uVision4-MDK4-12.zip。 裸机飞控源代码下载地址:Github项目crazep……

Crazepony软件开发经验总结

Crazepony软件开发经验总结

关于Z轴负反馈的调试 虽然我们已经努力将机身参数设计成没有个体差异,但是还是避免不了一些电阻电容上有误差。直接体现在MPU6050输出的姿态AD值上有个体差异,下面谈一谈用户拿到……

Crazepony软件框架讲解

Crazepony软件框架讲解

飞控源代码部分,截止目前为止,都是属于一砖一瓦敲出来的。没有使用实时操作系统,我们称之为裸机代码,未使用操作系统裸跑的意思。为了满足各个层次用户的需求和体现出我们的努力,后续会试着移植一个……

Crazepony原理讲解

Crazepony原理讲解

本章主要讲解Crazepony的硬件原理和软件框架。从中可以看到我们的主要设计思路。同时,我们将元器件选型和开发经验进行了总结,方便大家DIY属于自己的四轴飞行器,并且少走我们曾经走过的弯路……

APKTool之APK解压、打包、编译、反编译教程

APKTool之APK解压、打包、编译、反编译教程

简介:    Android apktool是一个用来处理APK文件的工具,可以对APK进行反编译生成程序的源代码和图片、XML配置、语言资源等文件,也可以……

Window/linux(Ubuntu)使用反编译工具jad

Window/linux(Ubuntu)使用反编译工具jad

安装步骤 步骤: 1. 解压jad158e.linux.static.zip 到/home/XXXX/jad/ 下 2. net.sf.jadc……

Vokoscreen:Linux优秀的屏幕录制软件

Vokoscreen:Linux优秀的屏幕录制软件

        计划把最近做的事情录制下来,供自己以后参考,所以需要一款linux下的录像软件,windows下这样的软件一大把,……

oracle10G/11G官方下载地址集合 直接迅雷下载

oracle10G/11G官方下载地址集合 直接迅雷下载

Oracle Database 11g Release 2 (11.2.0.1.0) for Microsoft Windows (64-bit) http://d……

在树莓派2上安装 Windows 10

在树莓派2上安装 Windows 10

微软在2015年4月29日发布了树莓派玩家期待已久的 Windows 10 物联网核心预览版(Windows 10 IoT Core Insider Preview Image for Raspber……

Kubuntu 15.04 小白如何自己编译一个debian-server系统

Kubuntu 15.04 小白如何自己编译一个debian-server系统

     本人拿的是一块CT,其他板子也可同理按照此方法编译。 PC主机:  ubuntu 12.04 64位。  首先要准备一张……

由于没有公钥,无法验证下列签名 ppa

由于没有公钥,无法验证下列签名 ppa

W: GPG 错误:http://ppa.launchpad.net vivid Release: 由于没有公钥,无法验证下列签名: NO_PUBKEY FA9C98D5DDA4DB69……

如何关闭Sublime Text的自动更新

如何关闭Sublime Text的自动更新

使用了Submine Text的同学,有件事情可能困扰着你。如果Submine Text有新版更新,每次打开它的时候就会弹出一个框框,问你要不要更新。鉴于某种不齿的原因,很多同学不会去更新。……

百度云盘:Kubuntu 15.04实测 百度云Linux客户端Bcloud

百度云盘:Kubuntu 15.04实测 百度云Linux客户端Bcloud

云时代,各种网盘、云同步层出不穷。从 Linux 桌面的角度也对此关注颇多,先后测试、使用过云诺、Wuala、金山快盘、坚果云等对 Linux 支持良好的网盘。作为业界大佬,百度云网盘容量大……

Python的编码注释# -*- coding:utf-8 -*- Non-ASCII character

Python的编码注释# -*- coding:utf-8 -*- Non-ASCII character

发现是因为Python在默认状态下不支持源文件中的编码所致。 解决方案有如下三种: 一、在文件头部添加如下注释码: # cod……

笨办法学 Python 第一个程序

笨办法学 Python 第一个程序

你应该在练习 0 中花了不少的时间,学会了如何安装文本编辑器、运行文本编辑器、以及如何运行命令行终端,而且你已经花时间熟悉了这些工具。请不要跳过前一个练习的内容直接进行下面的内容,这也是本书……

雷柏V500 机械键盘无法在Linux(ubuntu)系统下使用的解决办法

雷柏V500 机械键盘无法在Linux(ubuntu)系统下使用的解决办法

ubuntu和Win7同时挂了,然后就安装了Kubuntu 15.04,感觉真心不错。 用的机械键盘 雷柏V500,无法直接驱动,需要安装下驱动就可以了, 机械键盘花……